Telers kunnen energie besparen door biologische paprika 2 graden kouder te telen, op voorwaarde dat het juiste ras wordt gekozen.
De proef met rode blokpaprika Margrethe en Alzamora vertoonde geen significante verschillen in opbrengsten bij een 2 graden lagere etmaaltemperatuur. Toch lijkt Alzamora stabieler te blijven in opbrengst en kwaliteit. In het koudere regime lijkt Margrethe terug te vallen in productie en leverde meer (te) grove vruchten. Wie energie wil besparen, vindt in Alzamora een betrouwbare keuze.
Na de energiecrisis is de zoektocht naar energiebesparing in de serre actueler dan ooit, ook bij biotelers. Eén van de mogelijkheden is het telen bij een lagere temperatuur. Maar kan je bij paprika de temperatuur verlagen zonder dat de opbrengst en kwaliteit hieronder te sterk lijden? Om een antwoord te vinden op die vraag werd bij Viaverda een proef opgezet in biologische teelt paprika met twee temperatuurregimes in de verwarmde kas. Op 1 februari 2024 werden twee rassen blokpaprika’s geplant: Alzamora (Rijk Zwaan) en Margrethe (Enza Zaden), beide op onderstam Taritana TRC 3130 (The Rootstock Company). Er werd geoogst tot 9 november 2024.
Kouder telen bij een 2°C lagere etmaaltemperatuur
In de serre met het normale regime werden een stook- en ventilatielijn toegepast volgens de gangbare praktijk in de biologische paprikateelt. De etmaaltemperatuur in het kouder regime werd 2°C lager ingesteld. De kastemperatuur die daadwerkelijk werd behaald, lag gemiddeld over het etmaal ongeveer 2°C lager dan in het normaal regime. Dit was alleen zo in het voorjaar en het najaar, want in de zomer zorgde de zon ervoor dat de temperatuur in de serres gelijk opliep. Wekelijks volgden we de bodemtemperatuur op. In het begin van de teelt was de bodemtemperatuur van de koudere serre tot 1°C lager, daarna niet meer.
Alzamora scoort beter op gewasgezondheid, Margrethe groeit compacter
Op regelmatige basis beoordeelden we het gewas, de opbrengst, vruchtvorm en -kwaliteit. We zagen weinig effect van de temperatuurregimes op het gewas, wel waren er rasverschillen. Alzamora groeide langer door en bereikte een hoogte tot 280 centimeter, terwijl Margrethe rond 240 centimeter bleef steken (en iets kleiner bij kouder regime). Margrethe had dikkere stengels, maar Alzamora toonde meer vitaliteit en gewasgezondheid en bleef ook later in het seizoen gezond. Daardoor gaf Alzamora een betrouwbaarder beeld, vooral in augustus en september.
In beide serres werden nuttigen ingezet tegen plagen. Onder het normaal regime dook vooral groene perzikluis (Myzus persicae) op, terwijl in het kouder regime boterbloemluis (Aulacorthum solani) dominant was. Die laatste soort is moeilijker te bestrijden en veroorzaakte gekrulde toppen en vergeling. Tegen het einde van de zomer kwam ook spint voor, vooral in het normale regime, dat is logisch want spint houdt van warme en droge omstandigheden.
 |
|
|
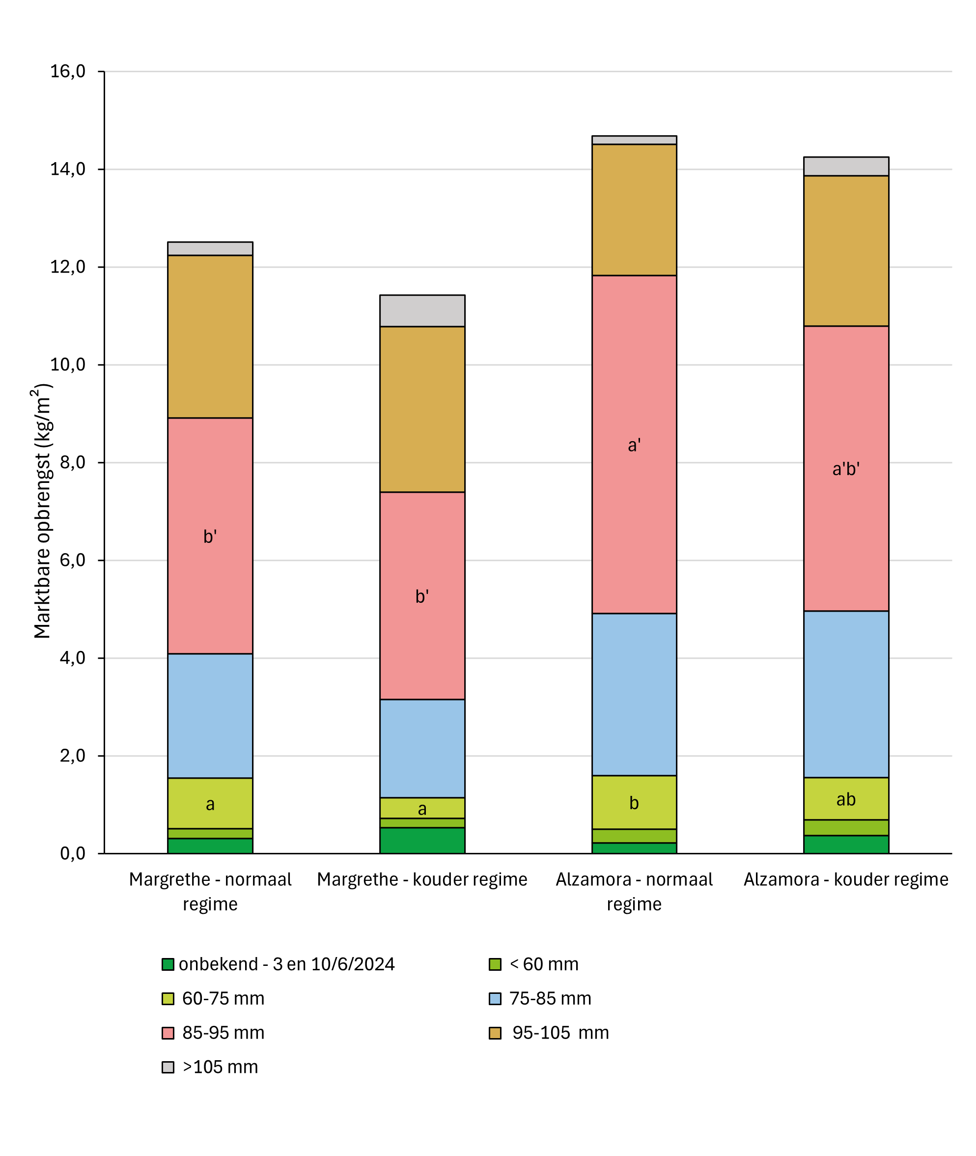
Alzamora leverde 14,7 kilogram kg/m² in normaal regime en kon dit met 14,3 kg/m² bijna gelijk houden in de koudere serre.
|
|
Bewaarkwaliteit nauwelijks verschillend
De bewaartesten toonden weinig verschillen tussen de serres. De kleur en glans bleven aanvankelijk goed. Binnen de twee weken traden er geen rottingsproblemen op. Bij Margrethe leek het kouder regime het rotrisico wat te beperken. Toch waren de verschillen klein en leverde het telen aan lagere temperatuur hier geen nadeel op.
Alzamora betrouwbare keuze bij kouder telen
Uit deze proef blijkt dat kouder telen mogelijk is zonder grote kwaliteitsproblemen, maar het gekozen ras maakt het verschil. Margrethe lijkt opbrengst te verliezen, levert in koudere omstandigheden een week later dan Alzamora de eerste rode vruchten en geeft meer te grove vruchten zodra de temperatuur daalt. Alzamora blijft zowel in productie als in kwaliteit stabiel en het gewas blijft langer gezond.
 |
|
Figuur: Marktbare opbrengst per ras en regime. Voor de diameterklasse 60-75 mm en 85-95 mm duiden de verschillende letters significante verschillen aan. In de andere klassen waren er geen significante verschillen. Er werd geoogst van 6 mei tot 9 november 2024. Op 3 en 10 juni 2024 werd de diameter van de vruchten niet bepaald.
|
Meer info
An Van de Walle
Dit onderzoek werd uitgevoerd met steun van het Agentschap Landbouw en Zeevisserij van de Vlaamse overheid.